|
Flow123d
JB_py123d-f4d5227
|
Transport with dispersion implemented using discontinuous Galerkin method. More...
#include <transport_dg.hh>


Classes | |
| class | EqData |
| class | EqFields |
Public Types | |
| enum | DGVariant { non_symmetric = -1 , incomplete = 0 , symmetric = 1 } |
| template<unsigned int dim> | |
| using | MassAssemblyDim = MassAssemblyDG< dim, Model > |
| template<unsigned int dim> | |
| using | StiffnessAssemblyDim = StiffnessAssemblyDG< dim, Model > |
| template<unsigned int dim> | |
| using | SourcesAssemblyDim = SourcesAssemblyDG< dim, Model > |
| template<unsigned int dim> | |
| using | BdrConditionAssemblyDim = BdrConditionAssemblyDG< dim, Model > |
| template<unsigned int dim> | |
| using | InitConditionAssemblyDim = InitConditionAssemblyDG< dim, Model > |
| template<unsigned int dim> | |
| using | InitProjectionAssemblyDim = InitProjectionAssemblyDG< dim, Model > |
| typedef std::vector< std::shared_ptr< FieldFE< 3, FieldValue< 3 >::Scalar > > > | FieldFEScalarVec |
Public Types inherited from Model< spacedim, Value > | |
| typedef FieldAlgorithmBase< spacedim, Value > | FieldBaseType |
| typedef std::shared_ptr< FieldBaseType > | FieldBasePtr |
Public Member Functions | |
| TransportDG (Mesh &init_mesh, const Input::Record in_rec) | |
| Constructor. More... | |
| void | zero_time_step () override |
| Initialize solution in the zero time. More... | |
| bool | evaluate_time_constraint (double &) |
| void | update_solution () override |
| Computes the solution in one time instant. More... | |
| void | output_data () |
| Postprocesses the solution and writes to output file. More... | |
| ~TransportDG () override | |
| Destructor. More... | |
| void | initialize () override |
| void | calculate_cumulative_balance () |
| Vec | get_component_vec (unsigned int sbi) |
| Return PETSc vector with solution for sbi-th component. More... | |
| FieldFEScalarVec & | get_p0_interpolation () |
| Getter for P0 interpolation by FieldFE. More... | |
| void | compute_p0_interpolation () |
| Compute P0 interpolation of the solution (used in reaction term). More... | |
| void | update_after_reactions (bool solution_changed) |
| std::shared_ptr< Balance > | balance () const |
| Access to balance object of Model. More... | |
| Model::ModelEqFields & | eq_fields () |
| Model::ModelEqData & | eq_data () |
Static Public Member Functions | |
| static const Input::Type::Record & | get_input_type () |
| Declare input record type for the equation TransportDG. More... | |
| static const Input::Type::Selection & | get_dg_variant_selection_input_type () |
| Input type for the DG variant selection. More... | |
Static Public Member Functions inherited from Model< spacedim, Value > | |
| template<typename Fn , class ... InputFields> | |
| static auto | create (Fn fn, InputFields &&... inputs) -> decltype(auto) |
| template<typename Function , typename Tuple , size_t ... I> | |
| static auto | call_create (Function f, Tuple t, std::index_sequence< I ... >) |
| template<typename Fn , class ... InputFields> | |
| static auto | create_multi (Fn fn, InputFields &&... inputs) -> decltype(auto) |
Private Member Functions | |
| void | preallocate () |
| void | set_initial_condition () |
| Calculates the dispersivity (diffusivity) tensor from the velocity field. More... | |
| void | output_region_statistics () |
Private Attributes | |
Physical parameters | |
| std::shared_ptr< EqFields > | eq_fields_ |
| Fields for model parameters. More... | |
| std::shared_ptr< EqData > | eq_data_ |
| Data for model parameters. More... | |
Solution of algebraic system | |
| std::vector< Vec > | rhs |
| Vector of right hand side. More... | |
| std::vector< Mat > | stiffness_matrix |
| The stiffness matrix. More... | |
| std::vector< Mat > | mass_matrix |
| The mass matrix. More... | |
| std::vector< Vec > | mass_vec |
| Mass from previous time instant (necessary when coefficients of mass matrix change in time). More... | |
Output to file | |
| Input::Record | input_rec |
| Array for storing the output solution data. More... | |
| ofstream | reg_stat_stream |
Auxiliary fields used during assembly | |
| vector< double > | ret_sources |
| Temporary values of increments due to retardation (e.g. sorption) More... | |
| vector< double > | ret_sources_prev |
Other | |
| bool | allocation_done |
| Indicates whether matrices have been preallocated. More... | |
| bool | init_projection |
| GenericAssembly< MassAssemblyDim > * | mass_assembly_ |
| general assembly objects, hold assembly objects of appropriate dimension More... | |
| GenericAssembly< StiffnessAssemblyDim > * | stiffness_assembly_ |
| GenericAssembly< SourcesAssemblyDim > * | sources_assembly_ |
| GenericAssembly< BdrConditionAssemblyDim > * | bdr_cond_assembly_ |
| GenericAssemblyBase * | init_assembly_ |
Static Private Attributes | |
| static const int | registrar |
| Registrar of class to factory. More... | |
Transport with dispersion implemented using discontinuous Galerkin method.
TransportDG implements the discontinuous Galerkin method for the transport and diffusion of substances. The concentration
of the i-th substance is governed by the advection-diffusion equation
where
is the fluid velocity and
the
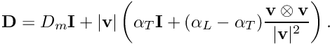
-dimensional domain, respectively. The hydrodynamic dispersivity tensor
is given by:
The molecular dispersivity
, as well as the longitudal and transversal dispersivity
are input parameters of the model.
For lower dimensions
the advection-diffusion equation is multiplied by the fracture cross-cut
.
The boundary
is divided into three disjoint parts
. We prescribe the following boundary conditions:
The transfer of mass through fractures is described by the transmission conditions on
:
Here
stands for the unit outward normal vector to
. The coefficient
determines the transfer of mass through fractures due to diffusion.
Definition at line 134 of file transport_dg.hh.
| using TransportDG< Model >::BdrConditionAssemblyDim = BdrConditionAssemblyDG<dim, Model> |
Definition at line 141 of file transport_dg.hh.
| typedef std::vector<std::shared_ptr<FieldFE< 3, FieldValue<3>::Scalar> > > TransportDG< Model >::FieldFEScalarVec |
Definition at line 145 of file transport_dg.hh.
| using TransportDG< Model >::InitConditionAssemblyDim = InitConditionAssemblyDG<dim, Model> |
Definition at line 142 of file transport_dg.hh.
| using TransportDG< Model >::InitProjectionAssemblyDim = InitProjectionAssemblyDG<dim, Model> |
Definition at line 143 of file transport_dg.hh.
| using TransportDG< Model >::MassAssemblyDim = MassAssemblyDG<dim, Model> |
Definition at line 138 of file transport_dg.hh.
| using TransportDG< Model >::SourcesAssemblyDim = SourcesAssemblyDG<dim, Model> |
Definition at line 140 of file transport_dg.hh.
| using TransportDG< Model >::StiffnessAssemblyDim = StiffnessAssemblyDG<dim, Model> |
Definition at line 139 of file transport_dg.hh.
| enum TransportDG::DGVariant |
| Enumerator | |
|---|---|
| non_symmetric | |
| incomplete | |
| symmetric | |
Definition at line 212 of file transport_dg.hh.
| TransportDG< Model >::TransportDG | ( | Mesh & | init_mesh, |
| const Input::Record | in_rec | ||
| ) |
Constructor.
| init_mesh | computational mesh |
| in_rec | input record |
Definition at line 151 of file transport_dg.cc.
|
override |
Destructor.
Definition at line 289 of file transport_dg.cc.
|
inline |
Access to balance object of Model.
Definition at line 281 of file transport_dg.hh.
| void TransportDG< Model >::calculate_cumulative_balance |
Definition at line 592 of file transport_dg.cc.
| void TransportDG< Model >::compute_p0_interpolation |
Compute P0 interpolation of the solution (used in reaction term).
Definition at line 540 of file transport_dg.cc.
|
inline |
Definition at line 287 of file transport_dg.hh.
|
inline |
Definition at line 285 of file transport_dg.hh.
|
inline |
Definition at line 245 of file transport_dg.hh.
|
inline |
Return PETSc vector with solution for sbi-th component.
Definition at line 268 of file transport_dg.hh.
|
static |
Input type for the DG variant selection.
Definition at line 52 of file transport_dg.cc.
|
static |
Declare input record type for the equation TransportDG.
Definition at line 78 of file transport_dg.cc.
|
inline |
Getter for P0 interpolation by FieldFE.
Definition at line 272 of file transport_dg.hh.
|
override |
Definition at line 191 of file transport_dg.cc.
| void TransportDG< Model >::output_data | ( | void | ) |
Postprocesses the solution and writes to output file.
Definition at line 567 of file transport_dg.cc.
|
private |
|
private |
Definition at line 374 of file transport_dg.cc.
|
private |
Calculates the dispersivity (diffusivity) tensor from the velocity field.
| K | The computed dispersivity tensor. |
| velocity | The velocity field (at quadrature points). |
| Dm | Molecular diffusivities. |
| alphaL | Longitudal dispersivities. |
| alphaT | Transversal dispersivities. |
| porosity | Porosities. |
| cross_cut | Cross-cuts of higher dimension. |
Sets the initial condition.
This method just calls AssemblyDG::prepare_initial_condition() for each elements.
Definition at line 613 of file transport_dg.cc.
| void TransportDG< Model >::update_after_reactions | ( | bool | solution_changed | ) |
Definition at line 639 of file transport_dg.cc.
|
override |
Computes the solution in one time instant.
Definition at line 405 of file transport_dg.cc.
|
override |
Initialize solution in the zero time.
Definition at line 341 of file transport_dg.cc.
|
private |
Indicates whether matrices have been preallocated.
Definition at line 383 of file transport_dg.hh.
|
private |
Definition at line 392 of file transport_dg.hh.
|
private |
Data for model parameters.
Definition at line 330 of file transport_dg.hh.
|
private |
Fields for model parameters.
Definition at line 327 of file transport_dg.hh.
|
private |
Definition at line 393 of file transport_dg.hh.
|
private |
Definition at line 385 of file transport_dg.hh.
|
private |
Array for storing the output solution data.
Record with input specification.
Definition at line 360 of file transport_dg.hh.
|
private |
general assembly objects, hold assembly objects of appropriate dimension
Definition at line 389 of file transport_dg.hh.
|
private |
The mass matrix.
Definition at line 346 of file transport_dg.hh.
|
private |
Mass from previous time instant (necessary when coefficients of mass matrix change in time).
Definition at line 349 of file transport_dg.hh.
|
private |
Definition at line 362 of file transport_dg.hh.
|
staticprivate |
Registrar of class to factory.
Definition at line 291 of file transport_dg.hh.
|
private |
Temporary values of increments due to retardation (e.g. sorption)
Definition at line 372 of file transport_dg.hh.
|
private |
Definition at line 372 of file transport_dg.hh.
|
private |
Vector of right hand side.
Definition at line 340 of file transport_dg.hh.
|
private |
Definition at line 391 of file transport_dg.hh.
|
private |
Definition at line 390 of file transport_dg.hh.
|
private |
The stiffness matrix.
Definition at line 343 of file transport_dg.hh.