|
Flow123d
DF_patch_fe_mechanics-8d0e131
|
Mixed-hybrid model of linear Darcy flow, possibly unsteady. More...
#include <darcy_flow_mh.hh>


Classes | |
| class | EqData |
| class | EqFields |
Public Member Functions | |
| TYPEDEF_ERR_INFO (EI_Reason, string) | |
| DECLARE_EXCEPTION (ExcSolverDiverge,<< "Diverged nonlinear solver. Reason: "<< EI_Reason::val) | |
| DECLARE_INPUT_EXCEPTION (ExcMissingTimeGovernor,<< "Missing the key 'time', obligatory for the transient problems.") | |
| DarcyMH (Mesh &mesh, const Input::Record in_rec, TimeGovernor *tm=nullptr) | |
| CREATE AND FILL GLOBAL MH MATRIX OF THE WATER MODEL. More... | |
| void | init_eq_data () |
| void | initialize () override |
| virtual void | initialize_specific () |
| void | zero_time_step () override |
| void | update_solution () override |
| void | solve_time_step (bool output=true) |
| Solve the problem without moving to next time and without output. More... | |
| virtual void | postprocess () |
| postprocess velocity field (add sources) More... | |
| virtual void | output_data () override |
| Write computed fields. More... | |
| virtual double | solved_time () override |
| EqFields & | eq_fields () |
| EqData & | eq_data () |
| void | set_extra_storativity (const Field< 3, FieldValue< 3 >::Scalar > &extra_stor) |
| void | set_extra_source (const Field< 3, FieldValue< 3 >::Scalar > &extra_src) |
| virtual | ~DarcyMH () override |
Public Member Functions inherited from DarcyFlowInterface | |
| DECLARE_EXCEPTION (ExcBddcmlNotSupported,<< "Flow123d was not build with BDDCML support.\n") | |
| DECLARE_EXCEPTION (ExcUnknownSolver,<< "Unknown solver type. Internal error.\n") | |
| DarcyFlowInterface (Mesh &mesh, const Input::Record in_rec) | |
| virtual | ~DarcyFlowInterface () |
Public Member Functions inherited from EquationBase | |
| EquationBase () | |
| EquationBase (Mesh &mesh, const Input::Record in_rec) | |
| virtual | ~EquationBase () |
| virtual void | choose_next_time () |
| virtual void | set_time_upper_constraint (double dt, std::string message) |
| virtual void | set_time_lower_constraint (double dt, std::string message) |
| TimeGovernor & | time () |
| virtual void | set_time_governor (TimeGovernor &time) |
| double | planned_time () |
| Mesh & | mesh () |
| std::shared_ptr< Balance > | balance () const |
| TimeMark::Type | mark_type () |
| FieldSet & | eq_fieldset () |
| std::shared_ptr< FieldSet > | eq_fieldset_ptr () |
| void | init_user_fields (Input::Array user_fields, FieldSet &output_fields) |
Static Public Member Functions | |
| static const Input::Type::Selection & | get_mh_mortar_selection () |
| Selection for enum MortarMethod. More... | |
| static const Input::Type::Record & | type_field_descriptor () |
| static const Input::Type::Record & | get_input_type () |
Static Public Member Functions inherited from DarcyFlowInterface | |
| static Input::Type::Abstract & | get_input_type () |
Static Public Member Functions inherited from EquationBase | |
| static Input::Type::Record & | record_template () |
| Template Record with common keys for derived equations. More... | |
| static Input::Type::Record & | user_fields_template (std::string equation_name) |
| Template Record with common key user_fields for derived equations. More... | |
Protected Member Functions | |
| virtual bool | zero_time_term (bool time_global=false) |
| void | solve_nonlinear () |
| Solve method common to zero_time_step and update solution. More... | |
| void | modify_system () |
| virtual void | setup_time_term () |
| void | prepare_new_time_step () |
| void | create_linear_system (Input::AbstractRecord rec) |
| virtual void | read_initial_condition () |
| void | reconstruct_solution_from_schur (MultidimAssembly &assembler) |
| void | allocate_mh_matrix () |
| void | assembly_mh_matrix (MultidimAssembly &assembler) |
| virtual void | assembly_source_term () |
| Source term is implemented differently in LMH version. More... | |
| virtual void | assembly_linear_system () |
| void | set_mesh_data_for_bddc (LinSys_BDDC *bddc_ls) |
| virtual double | solution_precision () const |
| void | print_matlab_matrix (string matlab_file) |
| Print darcy flow matrix in matlab format into a file. More... | |
| std::vector< int > | get_component_indices_vec (unsigned int component) const |
| Get vector of all DOF indices of given component (0..side, 1..element, 2..edge) More... | |
Protected Attributes | |
| std::shared_ptr< Balance > | balance_ |
| DarcyFlowMHOutput * | output_object |
| int | size |
| int | n_schur_compls |
| bool | use_steady_assembly_ |
| bool | data_changed_ |
| double | tolerance_ |
| unsigned int | min_n_it_ |
| unsigned int | max_n_it_ |
| unsigned int | nonlinear_iteration_ |
| LinSys * | schur0 |
| Vec | steady_diagonal |
| Vec | steady_rhs |
| Vec | new_diagonal |
| Vec | previous_solution |
| std::shared_ptr< EqFields > | eq_fields_ |
| std::shared_ptr< EqData > | eq_data_ |
Protected Attributes inherited from EquationBase | |
| bool | equation_empty_ |
| flag is true if only default constructor was called More... | |
| Mesh * | mesh_ |
| TimeGovernor * | time_ |
| Input::Record | input_record_ |
| std::shared_ptr< FieldSet > | eq_fieldset_ |
| std::shared_ptr< Balance > | balance_ |
| object for calculation and writing the mass balance to file. More... | |
Static Private Member Functions | |
| static std::string | equation_name () |
Static Private Attributes | |
| static const int | registrar |
| Registrar of class to factory. More... | |
Friends | |
| class | DarcyFlowMHOutput |
Additional Inherited Members | |
Public Types inherited from DarcyFlowInterface | |
| enum | MortarMethod { NoMortar = 0 , MortarP0 = 1 , MortarP1 = 2 } |
| Type of experimental Mortar-like method for non-compatible 1d-2d interaction. More... | |
| typedef DarcyFlowInterface | FactoryBaseType |
| Typedef for usage of Input::Factory in child classes. More... | |
Mixed-hybrid model of linear Darcy flow, possibly unsteady.
Abstract class for various implementations of Darcy flow. In future there should be one further level of abstraction for general time dependent problem.
maybe TODO: split compute_one_step to : 1) prepare_next_timestep 2) actualize_solution - this is for iterative nonlinear solvers
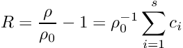
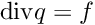
Mixed-hybrid of steady Darcy flow with sources and variable density.
solve equations:
where
The time key is optional, when not specified the equation is forced to steady regime. Using Steady TimeGovernor which have no dt constraints. Model for transition coefficients due to Martin, Jaffre, Roberts (see manual for full reference)
TODO:
TODO: Remove in future. It is supposed not to be improved anymore, however it is kept functioning aside of the LMH lumped version until the LMH version is stable and optimized.
Definition at line 125 of file darcy_flow_mh.hh.
| DarcyMH::DarcyMH | ( | Mesh & | mesh_in, |
| const Input::Record | in_rec, | ||
| TimeGovernor * | tm = nullptr |
||
| ) |
CREATE AND FILL GLOBAL MH MATRIX OF THE WATER MODEL.
Parameters {Solver,NSchurs} number of performed Schur complements (0,1,2) for water flow MH-system
Definition at line 353 of file darcy_flow_mh.cc.
|
overridevirtual |
Definition at line 1455 of file darcy_flow_mh.cc.
|
protected |
Part of per element assembly that is specific for MH and LMH respectively.
This implemnets MH case:
Definition at line 886 of file darcy_flow_mh.cc.

|
protectedvirtual |
Assembly or update whole linear system.
Definition at line 1149 of file darcy_flow_mh.cc.

|
protected |
Assembles linear system matrix for MH. Element by element assembly is done using dim-template assembly class. Assembles only steady part of the equation. TODO:
Definition at line 862 of file darcy_flow_mh.cc.

|
protectedvirtual |
Source term is implemented differently in LMH version.
Definition at line 999 of file darcy_flow_mh.cc.

|
protected |
Create and preallocate MH linear system (including matrix, rhs and solution vectors)
Definition at line 1036 of file darcy_flow_mh.cc.

| DarcyMH::DECLARE_EXCEPTION | ( | ExcSolverDiverge | , |
| << "Diverged nonlinear solver. Reason: "<< EI_Reason::val | |||
| ) |
| DarcyMH::DECLARE_INPUT_EXCEPTION | ( | ExcMissingTimeGovernor | , |
| << "Missing the key 'time' | , | ||
| obligatory for the transient problems." | |||
| ) |
|
inline |
Definition at line 269 of file darcy_flow_mh.hh.
|
inline |
|
inlinestaticprivate |
|
protected |
Get vector of all DOF indices of given component (0..side, 1..element, 2..edge)
Definition at line 1630 of file darcy_flow_mh.cc.

|
static |
Definition at line 134 of file darcy_flow_mh.cc.
|
static |
Selection for enum MortarMethod.
Definition at line 81 of file darcy_flow_mh.cc.

| void DarcyMH::init_eq_data | ( | ) |
|
overridevirtual |
This method should initialize fields of the equation. All members (e.g. number of components) that are necessary for the field initialization must be set between construction and call of initialize. After this method the upper level coupling may set sharing of some fields between equations.
Reimplemented from EquationBase.
Definition at line 480 of file darcy_flow_mh.cc.
|
virtual |
|
protected |
|
overridevirtual |
Write computed fields.
Reimplemented from EquationBase.
Definition at line 834 of file darcy_flow_mh.cc.

|
virtual |
postprocess velocity field (add sources)
Definition at line 800 of file darcy_flow_mh.cc.

|
protected |
|
protected |
Print darcy flow matrix in matlab format into a file.
Definition at line 1205 of file darcy_flow_mh.cc.
|
protectedvirtual |
Read initial condition into solution vector. Must be called after create_linear_system.
For the LMH scheme we have to be able to save edge pressures in order to restart simulation or use results of one simulation as initial condition for other one.
Definition at line 1510 of file darcy_flow_mh.cc.

|
protected |
|
inline |
Definition at line 274 of file darcy_flow_mh.hh.
|
inline |
Definition at line 271 of file darcy_flow_mh.hh.
|
protected |
type for storage of global to local map
We need:
Definition at line 1278 of file darcy_flow_mh.cc.

|
protectedvirtual |
|
protectedvirtual |
Return a norm of residual vector. TODO: Introduce Equation::compute_residual() updating residual field, standard part of EqData.
Definition at line 850 of file darcy_flow_mh.cc.
|
protected |
Solve method common to zero_time_step and update solution.
Definition at line 711 of file darcy_flow_mh.cc.

| void DarcyMH::solve_time_step | ( | bool | output = true | ) |
Solve the problem without moving to next time and without output.
Definition at line 650 of file darcy_flow_mh.cc.

|
overridevirtual |
Time until which the actual solution is valid. By default, it returns the actual time of the time governor. However, it can be overriden by a specific equation. E.g. it differs in Darcy flow in the steady case.
Reimplemented from EquationBase.
Definition at line 405 of file darcy_flow_mh.cc.
|
static |
| DarcyMH::TYPEDEF_ERR_INFO | ( | EI_Reason | , |
| string | |||
| ) |
|
overridevirtual |
Calculation of the next time step and its output.
Reimplemented from EquationBase.
Definition at line 635 of file darcy_flow_mh.cc.
|
overridevirtual |
Initialization of the solution in the zero time.
There may be fields that can not be initialized in the initialize method as they are provided by the coupling. Fields coming from coupling has to be set after the initialize method and before zero_time_step.
Reimplemented from EquationBase.
Definition at line 589 of file darcy_flow_mh.cc.
|
protectedvirtual |
Returns true is the fields involved in the time term have values that makes the time term zero. For time_global==true, it returns true if there are no field descriptors in the input list, so the fields )of the time ter) have their default values for whole simulation. If time_global==false (default), only the actual values are considered.
Definition at line 702 of file darcy_flow_mh.cc.

|
friend |
Definition at line 394 of file darcy_flow_mh.hh.
|
protected |
Definition at line 365 of file darcy_flow_mh.hh.
|
protected |
Definition at line 375 of file darcy_flow_mh.hh.
|
protected |
Definition at line 392 of file darcy_flow_mh.hh.
|
protected |
Definition at line 391 of file darcy_flow_mh.hh.
|
protected |
Definition at line 380 of file darcy_flow_mh.hh.
|
protected |
Definition at line 379 of file darcy_flow_mh.hh.
|
protected |
Definition at line 370 of file darcy_flow_mh.hh.
|
protected |
Definition at line 388 of file darcy_flow_mh.hh.
|
protected |
Definition at line 381 of file darcy_flow_mh.hh.
|
protected |
Definition at line 367 of file darcy_flow_mh.hh.
|
protected |
Definition at line 389 of file darcy_flow_mh.hh.
|
staticprivate |
Registrar of class to factory.
Definition at line 400 of file darcy_flow_mh.hh.
|
protected |
Definition at line 384 of file darcy_flow_mh.hh.
|
protected |
Definition at line 369 of file darcy_flow_mh.hh.
|
protected |
Definition at line 386 of file darcy_flow_mh.hh.
|
protected |
Definition at line 387 of file darcy_flow_mh.hh.
|
protected |
Definition at line 378 of file darcy_flow_mh.hh.
|
protected |
Definition at line 374 of file darcy_flow_mh.hh.